Q
2025-09-15 09:06:57SH 국민임대 커트라인 공고에 대해 문의드립니다.
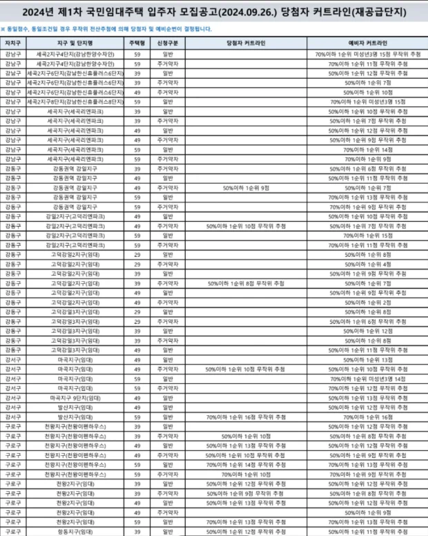
SH 공사 국민임대주택 커트라인 공고에서 예비자 커트라인에 "1순위"가 정확히 의미하는 바가 뭘까요? 제가 관악구에 거주중인데 이번에 송파구에 있는 49m2 국민임대 아파트를 지원했습니다.선택 과정에 1순위는 송파구 인접구(강남구,강동구,광진구) 였고 나머지는 2순위라 2순위를 선택했는데요...저 커트라인에 1순위가 그 인접구의 순위인건가요...만약 그게 맞다면 당첨 가능성이 0%로로 보이는데요...
저는 1순위가 선순위(월평균소득의 50%이하) 소득기준 , 2순위가 후순위(월평균소득의 50%초과 70%이하) 소득기준이런 개념으로 알고 있었는데... 완전 잘못 알았던거죠?

A
Dr.s DiagnosisSH 국민임대 커트라인 공고에 대한 문의 주셨네요. 꼼꼼하게 확인해서 답변드리겠습니다.
1. SH 국민임대주택의 순위 기준
SH 국민임대주택의 순위는 크게 두 가지 기준으로 나뉩니다.
* 거주지 기준: 해당 주택이 건설된 시/군/구 거주자에게 1순위가 부여되고, 인접 지역 거주자에게는 2순위 또는 3순위가 부여됩니다. 이는 해당 지역 주민의 주거 안정을 우선시하기 위한 정책입니다.
* 소득 기준: 과거에는 소득 수준에 따라 순위가 나뉘기도 했지만, 현재는 소득 기준보다는 다른 요소(예: 청약저축 가입 기간, 무주택 기간 등)가 당첨에 더 큰 영향을 미칩니다.
2. 예비입주자 선정 시 커트라인의 의미
* 공고문에서 "1순위" 커트라인은 해당 주택 건설 지역(예: 송파구) 1순위 거주자 중, 예비입주자로 선정될 수 있는 최저 점수를 의미합니다. 즉, 송파구 1순위 거주자 중에서도 해당 점수 이상을 받아야 예비입주자 명단에 이름을 올릴 수 있습니다.
3. 귀하의 당첨 가능성
* 관악구 거주자로서 송파구 국민임대주택에 2순위로 지원하셨다면, 1순위 커트라인보다는 경쟁이 다소 치열할 수 있습니다. 하지만 포기하지 마세요! 예비입주자는 계약 포기, 자격 미달 등의 사유로 인해 순번이 돌아올 가능성이 있습니다.
4. 오해하신 부분
* 과거에는 소득 기준으로 순위가 나뉘는 경우가 있었지만, 현재는 거주지, 무주택 기간, 청약저축 가입 기간 등 다양한 요소가 종합적으로 고려됩니다.
* 1순위가 소득 기준 선순위, 2순위가 후순위를 의미하는 것은 아닙니다.
5. 추가 조언
* SH공사 홈페이지 또는 콜센터(1600-3456)에 문의하시면, 보다 정확한 정보를 얻으실 수 있습니다.
* 국민임대주택은 경쟁률이 높은 편이므로, 꾸준히 관심을 가지고 다양한 공고에 지원하시는 것이 좋습니다.
SH 국민임대주택 당첨을 응원하겠습니다!